机械工程基础知识点汇总
第一章 常用机构 一、零件、构件、部件 零件,是指机器中每一个最基本的制造单元体。 在机器中,由一个或几个零件所构成的运动单元体,称为构件。 部件,指机器中由若干零件所组成的装配单元体。 二、机器、机构、机械 机器具有以下特征: (一) 它是由许多构件经人工组合而成的; (二) 构件之间具有确定的相对运动; (三) 用来代替人的劳动去转换产生机械能或完成有用的机械功。 具有机器前两个特征的多构件组合体,称为机构。 机器和机构一般总称为机械。 三、运动副 使两构件直接接触而又能产生一定相对运动的联接称为运动副。 四、铰链四杆机构 由四个构件相互用铰销联接而成的机构,这种机构称为铰链四杆机构。 四杆机构的基本型式有以下三种: (一)曲柄摇杆机构 两个特点:具有急回特性,存在死点位置。 (二)双曲柄机构 (三)双摇杆机构 铰链四杆机构基本形式的判别:
a+d≤b+c | a+d>b | ||
双曲柄机构 | 曲柄摇杆机构 | 双摇杆机构 | 双摇杆机构 |
最短杆固定 | 与最短杆相邻的杆固定 | 与最短杆相对的杆固定 | 任意杆固定 |
注:a—最短杆长度;d—最长杆长度;b、c—其余两杆长度。 五、曲柄滑块机构 曲柄滑块机构是由曲柄、连杆、滑块及机架组成的另一种平面连杆机构。 六、凸轮机构 (一) 按凸轮的形状分:盘形凸轮机构,移动凸轮机构,圆柱凸轮机构。 (二)按从动杆的型式分:尖顶从动杆凸轮机构,滚子从动杆凸轮机构,平底从动杆凸轮机构。 七、螺旋机构 螺旋机构的基本工作特性是将回转运动变为直线移动。 螺纹的导程和升角:螺纹的导程L与螺距P及线数n的关系是 L = nP 根据从动件运动状况的不同,螺旋机构有单速式、差速式和增速式三种基本型式。
第二章 常用机械传动装置
机械传动装置的主要功用是将一根轴的旋转运动和动力传给另一根轴,并且可以改变转速的大小和转动的方向。常用的机械传动装置有带传动、链传动、齿轮传动和蜗杆传动等。
一、带传动
带传动的工作原理:带传动是用挠性传动带做中间体而靠摩擦力工作的一种传动。
带传动的速比计算公式为:i = n1/n2 =D2/D1
主要失效形式为打滑和疲劳断裂。
在进行V带传动计算和选用时,可先按下列公式计算基准长度Ld的近似值Ld’ :
Ld’ =2α+p(D1+D2)/2+(D1-D2)/ 4α
式中α为主、从二带轮的中心距;D1、D2为主、从二带轮的基准直径。
二、链传动
链传动的速比为i = n1 / n2 = z2 / z1
三、齿轮传动
齿轮传动的速比为i = n1 / n2 = z2 / z1 = D2 / D1
一对齿轮传动时,通过两轮中心连线上的节点P 的二切圆在作无滑动的相互对滚运动,此二圆称为节圆。
齿轮传动可分为三大类:两轴平行的齿轮传动、两轴相交的齿轮传动以及两轴相错的齿轮传动。

编辑切换为居中
添加图片注释,不超过 140 字(可选)
四、渐开线
(一)渐开线的形成:当一直线AB 沿半径为rb 的圆作纯滚动时,此直线上任意一点K 的轨迹CD 称为该圆的渐开线。
(二)渐开线的性质
1.发生线在基圆上滚过的线段长度NK,等于基圆上被滚过的一段弧长NC,即NK=NC;
2.渐开线上任意一点的法线必切于基圆;
3.渐开线的形状决定于基圆的大小;
4.基圆内无渐开线。
五、直齿圆柱齿轮传动
(一)齿顶圆直径以 da 表示,齿根圆 直径以 df 表示。
(二)分度圆是一个理论圆,无法直接测量,其直径以d 表示。
(三)模数以m 表示,定义为m = p /p
(四)通常说的压力角,指的是分度圆上的压力角,以 a 表示。
(五)分度圆上的压力角规定为标准值,我国规定标准压力角为20°和15°。
(六)分度圆概念:齿轮上压力角和模数均为标准值的圆称为分度圆。
(七)标准直齿圆柱齿轮的啮合传动,为了能正确啮合和连续传动,必须满足以下几个条件:
1.正确啮合的条件:两齿轮的模数、压力角必须相等;
2.续传动的条件:在一对轮齿即将脱离啮合时,后一对轮齿必须进入啮合;
3.避免根切和干涉的条件:齿轮的齿数必须大于或等于17。
六、蜗杆传动
主要特点:速比大、传动平稳、有自锁作用、效率低 。
第三章 轮系
一、轮系的功用
获得大的传动速比、作较远距离的传动、得到多种传动速比、改变从动轴的转向、转动的合成和分解。
二、轮系的分类
定轴轮系(或称普通轮系)、周转轮系。
三、定轴轮系速比
i = n主 / n从 = (-1)n 各从动轮齿数的乘积 / 各主动轮齿数的乘积
四、周转轮系
(一)转化机构的速比:
i 13H = n1H / n3H =(n1-nH )/ (n3-nH )= -z2z3 / z1z2 = -z3 /z1
(二)周转轮系速比的一般计算公示:
设以1和k代表周转轮系中的两个太阳轮,以H代表系杆,其中轮1为主动轮,则其转化机构的速比i 1kH 为
i 1kH = (n1-nH )/ (nk-nH )= (-1)n (z2 … zk)/(z1 …zk-1)
(三)周转轮系的结构虽然很简单,但可获得很大的传动速比。
(四)差动轮系可将两个独立的转动合成为一个转动的特点;差动轮系能将一个转动分解成为两个独立的转动。

添加图片注释,不超过 140 字(可选)
第四章 轴系零部件
在机器中,轴及与它直接关联的一系列零部件,如轴承、联轴器、离合器、制动器及键等,统称为轴系零部件。
一、轴
二、轴承:
轴承分为滑动轴承和滚动轴承两大类。
三、联轴器、离合器、制动器
第五章 液压与气压传动
一、液压传动的原理和组成
液压传动是以液体作为工作介质来传动的一种传动方式,它依靠密封容积的变化传递运动,依靠液体内部的压力(由外界负载所引起)传递动力。
二、液压传动的优缺点
三、液压传动的两个基本参数——压力、流量
(一)压力
P = F /A
式中,力 F 的单位是N,面积 A 的单位是 m2,压力 p 的单位是Pa。
(二)流量
1.单位时间内流过通道某一截面的液体体积称为流量。若在时间t内流过的液体体积为V ,则流量为 q =V /t
流量的单位是 m3/s、cm3/s 或 L/min,它们的换算关系是
1 m3/s =106 cm3/s =6×104 L/min
2.流过的液体体积为V = Al ,流量为 q = V /t = Al /t = Av ,即
V = q /A
式中,v为活塞运动的速度,q为输入液压缸的流量,A为活塞的有效作用面积。
四、液压传动用油的选择
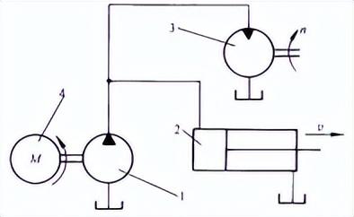
第六章 液压泵、液压马达和液压缸

编辑
添加图片注释,不超过 140 字(可选)
在液压系统中,液压泵、液压马达和液压缸都是能量转换装置。右图为用液压图形符号表示的泵、马达和缸三者的作用与关系。
一、液压泵
液压泵是通过密封容积的变化来实现吸油和压油的。
常用的液压泵有齿轮式、叶片式和柱塞式三种。
二、单作用式叶片泵

编辑
添加图片注释,不超过 140 字(可选)
(一)单作用式叶片泵的流量可调,是变量泵。
(二)具有特殊性能的单作用叶片泵:限压式变量叶片泵的工作原理与特性曲线
1.工作原理:当工作压力增大到预先调定的数值以后,泵的流量便自动随压力增大而显著地减小;
2.特性曲线:见右图。
三、液压马达
(一)液压马达的类型:齿轮式、叶片式和柱塞式。
(二)液压马达的排量:液压马达的每转排油量称为排量。
(三)摆动液压马达
第七章 液压控制阀

编辑
添加图片注释,不超过 140 字(可选)

编辑切换为居中
添加图片注释,不超过 140 字(可选)

编辑切换为居中
添加图片注释,不超过 140 字(可选)
流量阀用于控制液压系统中液体的流量。常用的流量阀有节流阀、调速阀等
流量阀是液压系统中的调速元件,其调速原理是依靠改变阀口的通流截面积来控制液体的流量,以调节执行机构 (液压缸或液压马达) 的运动速度。
(一)节流阀
节流阀流量特性方程
环境,是指影响人类生存和发展的各种天然的和经过人工改造的自然因素的总体。
q= CAT (Δp)j
(二)规划环境影响评价的技术依据和基本内容节流阀符号:
1.当阀口形状、结构尺寸及油液性质、节流阀前后的压力差一定(C、、ΔP一定)时,只要改变阀的通流截面积,便可调节流量。
2.当阀口通流截面积调整好以后(一定),若阀的前后压力差或油的粘度发生变化(ΔP或C值变化),通过节流阀的流量也要发生变化。
1. 规划环境影响评价的报审(二)调速阀
对于运动平稳性要求较高的液压系统,通常采用调速阀。
《中华人民共和国环境保护法》和其他相关法律还规定:“建设项目防治污染的设施,必须与主体工程同时设计,同时施工,同时投产使用(简称“三同时”)。防治污染的设施必须经原审批环境影响报告书的环境保护行政部门验收合格后,该建设项目方可投入生产或者使用。”“三同时”制度和建设项目竣工环境保护验收是对环境影响评价的延续,从广义上讲,也属于环境影响评价范畴。调速阀是由减压阀和节流阀串联而成的组合阀。
(3)是否符合区域、流域规划和城市总体规划。调速阀详细符号:

添加图片注释,不超过 140 字(可选)
调速阀简化符号:

编辑
添加图片注释,不超过 140 字(可选)
(3)公众对规划实施所产生的环境影响的意见;第八章 液压辅助元件
(4)列出辨识与分析危险、有害因素的依据,阐述辨识与分析危险、有害因素的过程。液压辅助元件也是液压系统的基本组成部分之一。
常用的一些辅助元件:过滤器、蓄能器、压力计、压力计开关、油管、油管接头、阀类连接块和油箱等。
第九章 液压基本回路
2)应用环境质量标准时,应结合环境功能区和环境保护目标进行分级。
一、压力控制回路
常用的压力控制回路有调压回路,增压回路,保压回路,卸荷回路。
2.环境影响评价工作等级的划分依据二、速度控制回路
调速回路有节流调速,容积调速,容积节流调速三种。
3.评估环境影响的价值(最重要的一步):采用环境经济学的环境经济损益分析方法,对量化后的环境功能损害后果进行货币化估价,即对建设项目的环境费用或环境效益进行估价。(一)节流调速回路:按照流量阀安装位置的不同,有进油路节流调速、回油路节流调速和旁油路节流调速三种。
(二)容积调速回路:容积调速回路分为变量泵调速回路、变量马达调速回路和变量泵-变量马达调速回路三种。
(三)容积节流调速回路:用限压式变量叶片泵和调速阀的调速回路
大家都在看
-
仅一根手指一根脚趾能动,他却和母亲建起一座农场! 如果一个人全身瘫痪,卧病在床,靠呼吸机维持生命,仅有一根手指和一根脚趾能动,他还能做什么?在重庆两江新区木耳镇,进行性肌营养不良患者黎夏通过自学物理、化学、计算机编程、机械、农学、医学等知识,和母亲一 ... 机械之最12-19
-
新华网科技观察丨6G与AI融合会带来什么? 新华网北京12月18日电 题:6G与AI融合会带来什么?新华网记者凌纪伟6G与AI,并非两条并行的轨道。AI赋能6G创新,6G又将AI的触角延伸到各领域。两者融合、相互赋能,构筑起智能时代的数字底座。“十五五”规划建议提 ... 机械之最12-19
-
为世界荒漠化治理提供“中国范本”——探寻中国四大沙漠戴上“绿围脖”背后的故事 新华社北京12月18日电 《参考消息》近日刊发文章《为世界荒漠化治理提供“中国范本”——探寻中国四大沙漠戴上“绿围脖”背后的故事》。全文如下:这条人工生态屏障不仅有效遏制了沙尘南下东进的通道,也为世界干旱 ... 机械之最12-19
-
四川哪里的金子最多? 四川日报全媒体记者 王若晔又又又找到金子啦!12月18日,山东烟台消息,莱州市三山岛北部海域新发现国内唯一、亚洲最大的海底巨型金矿。不仅在山东,连月来,全国多地接连传来探“金金金金金”捷报:辽宁探明全国首 ... 机械之最12-19
-
十几颗下肚,女子痛到直不起腰!医生查完惊呆:实在太大了!千万别这样吃! 有一种痛,被很多人称为“仅次于分娩的疼痛”,平时悄无声息,发作时却让人冷汗直流、坐卧难安——它就是“结石痛”。近日,江苏常州52岁的贾女士(化名)就因一种应季水果痛到直不起腰。相关话题冲上微博热搜很多人 ... 机械之最12-19
-
钱塘江丨布的突围 潮新闻 竺大文 陆遥 苗丽娜 沈听雨绍兴柯桥,全球最大的纺织品交易集散中心。“时闻机杼声,日出万丈绸。”这句描绘隋唐时期当地盛景的诗句,证明了纺织二字早就深深地刻在了柯桥人的基因里。现在,每年全球约四分之 ... 机械之最12-19
-
中外交流丨镜头下的沙海新绿——从图片展上的照片看新疆带给世界的治沙灵感 “大美新疆铸辉煌——纪念新疆维吾尔自治区成立70周年”主题图片展12月10日在哈萨克斯坦国家博物馆拉开帷幕。哈国家博物馆馆长阿布德哈利乌勒致辞说,本次图片展在哈萨克斯坦成功开幕,是两国人民民心相亲、精神与智 ... 机械之最12-17
-
中国玩具如何“玩转”全球大市场? 原标题:科技范儿、文化范儿、绿色范儿——中国玩具“玩转”全球大市场在义乌全球数贸中心,外国客商与经营户洽谈采购事宜。王怿杰摄在义乌全球数贸中心,商家展示可变形智能玩具。王怿杰摄广东新佳奇科技有限公司工 ... 机械之最12-17
-
专科生逆袭!2026机械专业必考8大黄金证书,好就业薪资高! 各位机械专业的大专同学们,是否在思考如何提升竞争力,获得高薪工作?答案就在考取高含金量证书。在智能制造时代,“技能+证书”是你最硬的敲门砖。2026年大专机械设计与制造专业最值得投资的8大证书,能直接助力你 ... 机械之最12-17
-
在寒风中飘落的树叶是麻烦还是资源?每年520万吨枯枝落叶去哪了 深秋初冬,落叶玩家“卷”了起来:他们收集好看的叶子,亲手做成一顶魔法帽、一件披风或是扎成一把花束,用自己的巧思延长落叶的生命。京城的树郁郁葱葱。统计显示,每年的枯枝和落叶达到了惊人的520万吨,而且仍在 ... 机械之最12-17
相关文章
- 四川哪里的金子最多?
- 十几颗下肚,女子痛到直不起腰!医生查完惊呆:实在太大了!千万别这样吃!
- 钱塘江丨布的突围
- 无人机群飞行规划员、智慧仓运维员……科技催生令人心动新职业
- 中外交流丨镜头下的沙海新绿——从图片展上的照片看新疆带给世界的治沙灵感
- 中国玩具如何“玩转”全球大市场?
- 专科生逆袭!2026机械专业必考8大黄金证书,好就业薪资高!
- 高考志愿填报常识34:中国机械“五虎四小龙”
- 在寒风中飘落的树叶是麻烦还是资源?每年520万吨枯枝落叶去哪了
- 跃升48位!太重再次荣登“中国机械500强”榜单
- Anthropic重磅新研究:当AI采访了1250人,它看见了人类的“职业软肋”
- 废墟上,他们把日子重新拧上弦
- 世界五大军事家第5名:成吉思汗 —— 冷兵器时代最恐怖的战争机器
- “十四五”期间 太原市强化企业创新主体地位 激发创新活力
- 外骨骼机器人“出圈” 行业痛点待解
- 理科专业解读一:从学业到就业,一文搞懂机械类专业!
- 大专生逆袭!2026机械设计与制造专业必考8大证书
- 一级军士长的带兵“三字诀”
- 卖“陪伴”成了生意经?为什么大家都不想独处了
- 四大维度,深度解析2025年中国机械工业500强
热门阅读
-
天下第一暗器暴雨梨花针,传说中的唐门暗器做出来了 07-13
-
世界十大大型船舶排名,第一能承重六十万吨! 07-13
