硬核科普:速度超过光速真的能回到过去吗?
如果可以超过光速,相对论确实允许回到过去。
有打油诗为证:
年轻女郎名伯蕾,神行有术光难追。
爱因斯坦来指点,今日出游昨日归。
—— 伽莫夫 《从一到无穷大》
但是,要做的这一点,方法比你想象的可能要复杂一点。
1. 关于快子(tachyon)
要达到回到过去的目的,首先我们要解决超光速运动的难题。
但是,我们无法让你亲身体验超光速运动,因为作为一个拥有正常质量的物体,你的质量会随着速度提高而增加。即使耗尽宇宙中的所有能量,也无法把你加速到光速,更不用说超过光速了。我们必须寻找一种天生就能超光速运动的物质,来完成这个使命。
快子是一种假想中的粒子,它总是以超过光速的速度运动。迄今为止,真正的快子从来没有被发现过,物理学家们对这种粒子是否能够存在也一直存在争议。下面我们先来看看快子的一些奇妙特性。
根据洛伦兹不变性,狭义相对论同样适用于超光速运动的快子。所以,一个静质量为m,速度为v的快子具有能量

由于快子速度v大于光速c,不难看出,上面分母中根号内的值是负数,也就是说,分母是虚数。而一个物体的能量必须是实数,这就要求快子的静质量也是虚数。
超光速运动的快子可以赶上它发出的光(如果快子可以发出可见光让你看见),所以,当一个快子向你飞来时,你不会看见它。只有当它经过你以后,它发出的光才会到达。同时,它经过你以后发出的光也会被你看见。这时候的视觉效果是,一个快子一分为二,向相反的方向飞去。

上图(2)中的蓝色快子影像来自它到达你以前发出的光,看起来它朝着快子运动方向相反的方向飞去。而红色影像来自它经过你以后发出的光,这个影像运动方向和快子运动方向一致。由于多普勒效应,这两个影像的光会分别表现出蓝移和红移的效果。
不过这只是光学上的小把戏,不用把它看成真正的逆转时间,飞回过去。下面我们来看看怎么让快子真正地回到过去。
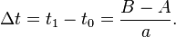
2. 简单的实验

在这个例子中,站在A处的猫向站在B处的老鼠发射了一个速度为a快子。假设猫发出快子的时间是t0,老鼠接受到快子的时间是t1,那么两者之间的时间差就是

对于这个简单的结果,连站在中间的狗也不会有什么异议。所以,虽然我们用上了超光速的快子,却并没有看到回到过去的效果。
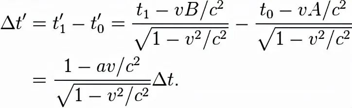
下面我们改进一下这个实验,让狗以速度v(小于光速)向右运动。

现在,狗在一个不同的惯性系中,它对时间t0和t1也有了不一样的认识,而两个事件(“猫发出快子”和“老鼠接收到快子”)之间的时间差需要用洛伦兹变换来计算:

虽然狗的运动速度v小于光速c,但是快子的速度a大于光速c。在av>c^2的条件下,上面计算结果中的分子将会是负数(例如,v=0.2c,a=6c)。这就意味着对于狗来说,老鼠接收到快子早于猫发出快子 —— 因果关系颠倒了。
当然,从猫和老鼠的角度来看,并没有什么不妥。因果关系仍然是正常的。那么,三个动物做出的相互矛盾的观察,哪一个是对的呢?狭义相对论认为,没有一个惯性系优于其他的惯性系,所以,它们都是对的。
3. 狭义相对论中的同时性(simultaneity)
这里的分析是基于狭义相对论中的同时性概念。多数人对狭义相对论的理解是“钟慢尺缩”,却对同时性了解甚少。
相对论中的因果关系不是指逻辑上的因果关系(如”天上下雨,地上就湿”),而是指两个事件之间能否以光速传递信息。如果两个事件之间可以以光速传递信息,那么两个事件就有因果关系,也就是所谓的光锥之内。如果不能以光速在两个事件之间传递信息,我们就可以认为两个事件可以同时发生(它们在彼此的光锥之外)。然而,这个同时性也是相对的,不同惯性系中的观察者对事件的顺序会有不同的观察结果。

比如,在上面的图中,站在中间的狗会认为猫和老鼠同时开枪,而向右边运动的狗却会认为老鼠比猫线开枪。同样,由于所有的惯性系都是平等的,所以它们的观察结果都是正确的。
在运动速度小于光速的情况下,有因果关系的事件无论从哪一个惯性系观察,时间的先后顺序都不会有区别——原因总是早于结果。然而,在超光速运动的惯性系中,因果关系也会被颠倒——结果可能先于原因,就像第2节中的例子一样。
4. 发送消息到过去
在第2节的例子中,你可以认为狗是一个无关紧要的旁观者,所以这个结果好像并不十分有趣。不过,从这个例子我们可以得到一个启示:要想让快子回到过去,我们需要利用一个相对运动的惯性系。
我们来设计一种能够让你和过去通信的装置——快子电话(tachyonic antitelephone)。这个装置包含两个部分:
1.你拿着的快子发送和接受装置
2.一个装在宇宙飞船上面的快子反射装置,它接收到快子信号后,会立即把快子反射回去。

快子电话的操作方法很简单:你向飞船发射快子信号,飞船把快子信号反射回来给你。
和前面的简单例子比较,你会发现这个飞船实际上同时扮演了老鼠和狗的角色——它既是一个运动的惯性系,还能够接受快子信号。这就意味着它可以在信号发出之前接受到信号,并且有可能在信号发出之前把信号给你送回去。所以,这是一个货真价实的和过去通话的装置。
我们来看一个具体的例子。
现在,你打算用这个快子电话发一笔横财。具体方法是,在彩票头奖号码出炉以后,把号码发给过去的自己。
最初,飞船和你的距离为0,并以0.8倍光速(0.8c)远离你运动。根据洛伦兹变换,这个速度将导致运动中的物体的时间以0.6的比例膨胀(洛伦兹因子为0.6)。
首先我们从你的惯性系来分析。
1.你的时间过去300天以后,彩票头奖号码公布了。你想用快子向飞船发出彩票号码。快子速度为2.4倍光速(2.4c)。
2.150天以后(第450天),你计算快子运动了150 x 2.4 = 360“光天”的距离(模仿光年的概念,我们把“光天”定义为光运动一天走过的距离)。
3.由于飞船以0.8c的速度走了450天,它也应该走了450 x 0.8 = 360 光天,所以,在第450天,飞船应该接收到信号了。
4.由于相对论的时间膨胀效果,飞船上的时间实际上只过了450 x 0.6 = 270天。
现在我们转移到飞船的惯性系。
1.飞船把用2.4倍光速的快子把信号反射回去。
2.135天以后,快子信号可以飞行135 x 2.4 = 324光天。
3.同时,相对飞船来说,你以0.8c的速度运动了270 + 135 = 405天,你应该距离飞船 405 x 0.8 = 324 光天。
4.所以,你应该在第405天收到信号。
5.由于相对论的时间膨胀效果,你的时间只过去了405 x 0.6 = 243天。
所以,你在发出彩票号码以前300 - 243 = 57天以前收到了彩票号码,如愿以偿地获得了头奖。
5. 悖论
然而故事还没有完,得到头奖以后,你发现既然钱已经到手,就没有必要在向过去的自己发送彩票号码了。这无疑就导致了一个悖论——如果不发送号码,过去的自己就不能得到号码。如果你真的不再发送号码,会有什么后果呢?
你的银行账户汇噗的一声清零还是你依然可以纸醉金迷的度过余生呢?
其实,即使你没有改变主意,悖论也会发生。在你用快子信号发出彩票号码的时候,你并没有中奖。当彩票号码被送回过去以后,你在过去中奖了。那么,现在的你,是中奖了还是没有中奖呢?你会吃惊地发现银行账户多了一笔巨款,还是理所当然地接受这个结果呢?
对于任何从未来影响过去的理论,无论是快子还是虫洞,悖论似乎都是不可避免的。包括爱因斯坦在内的物理学家们都认识到了这一点。爱因斯坦的观点是,这种悖论并不影响我们对因果关系的认识,它只能说明,超光速运动是不可能的。
然而,今天的物理学家们也没有完全否定快子的可能性。近年来也有一些新的理论试图消除超光速导致的悖论。比如,”自洽原则“理论认为,宇宙有自己固有的机制来防止悖论的产生。如果这个理论成立的话,在上面的例子中,宇宙也许会通过我们还无法认识的机制,阻止你中奖,或者强迫你把那个快子信号送出去,从而避免产生悖论。此外,诞生于量子物理的多世界理论(平行宇宙)也试图通过分叉的时间线来解释和避免悖论——如果你影响的过去是另一个平行宇宙,悖论自然就不不存在了。
大家都在看
-
人类首次清晰捕捉黑洞“舞步”,开启宇宙探索新视界 12月12日中午,在北京中国科学院国家天文台会议室内,研究员刘继峰、王亚楠与中国科学院大学副教授黄样、华中科技大学教授雷卫华等正在聚焦1.2亿光年外的一场“宇宙风暴”—— 一颗恒星被超大质量黑洞撕裂,残骸形成 ... 宇宙探索12-20
-
封面解读:外星生命、暗物质、暗能量……宇宙探索之旅,出发! 当我们抬头仰望星空,是否曾想过,那些闪烁的星光背后,隐藏着宇宙怎样的秘密?《知识就是力量》2025年12月新刊封面正是一幅精心编排的宇宙探索地图。让我们跟随封面上的图案,踏上一场穿越时空的宇宙探索之旅。12月 ... 宇宙探索12-18
-
宇宙有多大?——科学视角一探索与认知- 引言宇宙的浩瀚与神秘一直是人类探索的终极命题。从古代天文学家仰望星空的梦想,到现代科学家利用先进的望远镜进行深空探测,关于“宇宙有多大”的问题一直激发着人类的好奇心和探索欲望。本文将结合最新的科学研究 ... 宇宙探索12-14
-
宇宙有多大?探索无垠的空间之谜 “宇宙有多大?”这是一个古老而又深刻的问题,激发了无数天文学家、物理学家乃至普通人对未知世界的无限好奇。从古代的天文学家仰望星空,到现代科学利用先进望远镜观测遥远星系,我们不断在探索宇宙的边界,试图理 ... 宇宙探索12-14
-
宇宙诞生时间大揭秘:一场跨越时空的探索 在人类对未知的无尽探索中,宇宙的诞生时间一直是一个极具吸引力的谜题。它大揭秘:就像一个神秘的宝藏,吸引着无数科学家和爱好者去挖掘真相。那么,宇宙究竟是什么时间诞生的呢?让我们一起踏上这场跨越时空的探索 ... 宇宙探索12-09
-
天文望远镜的演变史:人类探索宇宙的“神器”之路 你知道吗?我们今天能用望远镜看到遥远的星系、黑洞,甚至探索宇宙的起源,这一切都离不开几百年来不断创新的天文“神器”——望远镜。从古代的仰望星空到现代的超级望远镜,它的每一次突破都带领我们更接近宇宙的奥 ... 宇宙探索12-09
-
宇宙的奥秘探索:我们到底走了多远? 朋友们,你有没有想过,浩瀚的宇宙到底藏着什么秘密?从小仰望星空,看到那一颗颗闪烁的星星,心里是不是也会想:它们背后到底隐藏着什么?其实,关于宇宙的故事,就像一场永不停歇的冒险,充满了奇迹和谜题。今天就 ... 宇宙探索12-07
-
精妙绝伦的宇宙探索未解之谜 6个精妙绝伦的宇宙未解之谜,颠覆认知的星际谜题至今无解!宇宙浩瀚如穹顶,藏着无数超越想象的奥秘。从神秘的暗物质到诡异的黑洞奇点,从外星文明的猜想 to 宇宙的终极命运,这些未解之谜既牵动着科学家的探索神经 ... 宇宙探索12-03
-
用我们能读得懂的语言走进宇宙前沿知识——引力的了解和探索之中 在人类探索宇宙的漫长历史中,我们逐渐掌握了更多宇宙的秘密,宇宙的运行规则最终被归结为四种力,它们都非常神秘,难以理解,是宇宙探索的最前沿理论。而它们之中,引力与我们最为接近,也最容易被我们理解。它既是 ... 宇宙探索12-02
-
【标题】天文与宇宙探索带你走进神秘的星空世界,揭开宇宙的秘密 嘿,朋友们!你有没有想过,天上的那些星星到底藏着什么秘密?为什么我们能看到那么多星座?人类又是怎么一步步走进浩瀚宇宙的?今天就带你深入了解一下天文和宇宙探索的那些事,让你对星空有更酷、更震撼的认识!说 ... 宇宙探索12-02
相关文章
- 70年后人类如何探索宇宙?中国科技馆“筑梦星球”展提供科幻答案
- 从1912到2025,宇宙射线起源探索终突破,中国观测站功不可没
- 无限与樊笼:论宇宙探索中的人类认知边界
- 地球存在如此多威胁人类的问题,为什么还要投资探索宇宙呢?
- 中国航天再破局!卫星天团探索宇宙,千年谜题即将揭晓
- 中国“太空天团”将出征!四颗卫星开启宇宙终极探索之旅
- 宇宙有多大:探索无垠星海的奥秘
- 太空科技强国:探索宇宙的未来之路
- 空间站:人类探索宇宙的新前沿
- 利多星智投:从大气层内到宇宙深空的探索——航空航天入门指南
- 实践三十号卫星的成功发谢,为人类探索宇宙奠定了基础
- 探索宇宙的奥秘::从地球到星际的奇幻旅程
- 火星变“地球2.0”要多久?为什么比想象中更难一万倍?
- 人类文明仅1秒,凭什么敢探索138亿年的宇宙?
- 浑天仪:凝聚古人探索宇宙的智慧(字载匠心·惊艳时光的中国智慧)
- 从一束激光到量子奇迹:普通人也能看懂的纠缠实验全解读
- 人类是怎么用望远镜探索宇宙的?背后的原理到底是啥?
- 全国仅十几所!这 5 所天文学强校含金量拉满,探索宇宙就选它们
- 国内天文学三强高校深度解析:A + 学科背后的宇宙探索密码
- 宇宙探索:从火箭到火星的太空旅
热门阅读
-
预言2030年太阳将休眠,恐怖的千年极寒将来临 07-11
-
中国十大元帅之死,多高寿而善终(林彪叛逃而死) 07-11
-
因果报应真实事例,做尽坏事必遭天谴 07-11
-
全球人口减少可能带来的六大教训和好处 07-18
-
离太阳最近的十大恒星排名,宇宙最大十大星球 04-12
