能量传输不连续,电子其实是一道波?欢迎来到量子物理的世界
很多人对于物理的基础认知还停留在牛顿-麦克斯韦时代:经典力学、经典热学和经典电磁学三座基座建立起了物理学的大厦,在这个体系下,一切自然规律都可以被解释,万有引力、电磁波、力场线...上帝造物的奥秘似乎已经被人类所掌握了。但是实际上,正如开尔文1900年于英国皇家学会上发表的演讲一样:十九世纪物理学的大厦已经建成,但是晴朗的天空中漂浮着两朵令人不安的乌云,一个是相对论,一个是量子力学。而这两朵“乌云”在二十世纪里深深地颠覆了整个经典物理体系,特别是量子力学,更是从根本上改变了物理学家认识世界的方式。
在神秘的量子面前,我们所有人不过是襁褓里的婴儿,仅仅揭开了上帝神秘面纱的一角。
那么究竟什么是量子,量子又如何改变了物理学,故事要从一个著名悖论讲起。

芝诺的乌龟:量子的诞生
古希腊有一位哲学家叫做芝诺,他假设了一个场景:
有一天,一只行动缓慢的乌龟找到了阿喀琉斯(希腊第一勇士),向他发起挑战,声称他绝不可能追上自己。阿喀琉斯哈哈大笑:就算是世界上跑的最快的豹子,我也能超越它的速度,何况你这只老迈的乌龟呢?乌龟不紧不慢地说,假如我现在离你100米远,你来追我,当你跑了100米之后,我也往前爬了10米,当你又往前跑了10米之后,我也往前走了1米,如此当你到达我原来所处地点的时候,我永远往前前进了一点,你只能无限接近我,却永远无法超过我。阿喀琉斯心想,是这么回事啊,我竟然追不上一只乌龟?
其实我们从数学的角度很好理解芝诺的乌龟,就是极限。比如阿喀琉斯的速度是10m/s,乌龟的速度是1m/s,乌龟原本领先阿喀琉斯9m,经过最简单的数学计算,其实阿喀琉斯只需要1s就能追上乌龟。但是按照乌龟的算法,实际上阿喀琉斯会永远被困在0.99999.....9的无数个小数点里,只要乌龟愿意,就可以把数字无限细分下去。

这个悖论的背后其实涉及到一个重要的前提,那就是能量的传输是连续的,什么意思呢,当天气预报说气温从10°C上升到了20°C时,我们都会觉得,气温是从10°C上升到11°C,再上升到12°C...它必然会经历10-20°C之间所有的值。能量这种连续地性质,是经典物理学的基础,牛顿也正是在此基础上建立了微积分。
但是量子物理却一举推翻了这个假设。
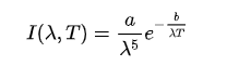
这个故事要从19世纪末,物理学家们对于黑体热辐射问题的研究,中间的研究过程暂且不表,来自东普鲁士的物理学家维恩经过精密地物理演算,得出了一个公式(维恩分布公式)

根据实验,物理学家们发现,当黑体被加热到1000多K高温的时候,其短波频率和这个公式是相符合的,但是长波却完全不一致。而另一位英国的科学家瑞利,推倒出了另一个公式(瑞利-金斯公式):

而这个公式则符合黑体的长波数据,而对其短波的测量结果,则完全不一样。这个事情就很荒谬,因为两个公式完全是从不同的前提出发推导出来的,一个是从粒子的角度,一个是从经典电磁波的角度,而黑体不可能同时又是粒子又是电磁波,如何才能把这两个公式统一起来呢?
著名的德国物理学家普朗克在研究了6年之后,终于得出了著名的普朗克黑体公式:

并且发表了《黑体光谱中的能量分布》,一石激起千层浪。为什么这个公式如此重要,因为它成立的前提是:物质的能量在发射和吸收的时候,不是连续不断,而是分成一份一份的。就像一个国家的货币,有1元的,有5毛的,所以一个商品的价格可以是12元,也可以是12.5元,但是绝对不能是12.25元,因为没有这个最小单位的货币。而能量传输间的这个最小单位,普朗克把其称之为“能量子”(Energieelement),其后又将其改称为量子(Elementarquantum),就此开启了量子物理的大门。
那么我们再回过头来看芝诺的乌龟这个悖论,用量子体系就非常好解释了,因为能量的传输不是连续的,所以时间不能无限细分,这个悖论自然也就不存在了。
神秘的电子跃迁
量子的发现,在各个方面都深刻地改变了物理学,最先迎来这场风暴的,却是和化学领域强相关的原子结构问题。相信大部分人都知道原子的“行星模型”,电子像行星一样按照既定的轨道围绕着原子核做着永恒的绕圈运动,这个模型在20世纪初被卢瑟福提出之后,被广泛认知,甚至在很长一段时间内成为了科学的象征图:三个电子围绕着原子核做运动的图。

但是这个模型却存在一个致命的缺陷,我们都知道电子是带着负电荷的粒子,而原子核是带正电荷的粒子,当电子围绕着原子核运动时,按照麦克斯韦的理论,两者之间会发出强烈的电磁辐射,就像磁铁的正负极会相互吸引一样,这意味着这个体系是不稳定的。电子会一点点失去它的能量,不停地缩小运行钣金,最终坠毁在原子核上,而这个过程用时可能都不足一秒,也就是世界将会随时随地发生核爆炸...这显然不符合实际情况。
而量子理论的提出,解决了这个问题。
当时人们已经发现了任何元素被加热到一定程度会释放出特定波长的光线,智慧的中国人民很早就发现了这个特点,夜空中绽放的颜色各异的烟花,就是特定的金属元素在高温下显现的温度:比如钠是黄色的,钾更偏向红橙色,钾则是紫色的...而这些谱线实际上是有规律 ,1885年,瑞士的一位数学家巴尔末发现了其中的规律,并推导出了著名的巴尔末公式:

其中R是一个常数,n是大于2的正整数,这个公式里蕴含着揭开电子运动秘密的答案。
我们刚才说到,量子物理里的一个最基础的规律,能量不是连续传输的,而是有一个最小的传输量。而巴尔末公式里对于n的界定:正整数,无疑是一种量子化的表述。著名的科学家玻尔(没错,就是和爱因斯坦争得死去活来的那位)发现了巴尔末公式和之前提到的普朗克公式之间的关联,从而推导出,电子在原子内部只能释放定量的能量,它只能按照某些“确定的”轨道运行,也就是当电子离原子核最近的时候,它的能力是最低的,当它一旦获得了特定的能力,它就能跃迁到其他轨道,一旦没有了能力的补充,它又会回落回来,而且在这一过程中,电子智能释放或吸收特定的能量,而不是任意连续的能量,所以原子的结构重行星图,变成了一个概率图,电子像一个幽灵一样,在某个点突然消失,在另一个点又突然出现,这就是我们所谓的“电子的跃迁”。

概率的世界:电子波的发现
如果说电子真的如幽灵一般,在原子里随意出现,那物理学家如何掌握其运动的规律,我们这个世界不就是完全随机的了吗?
相信我们很多人都知道爱因斯坦大名鼎鼎的质能方程:E=MC^2,而根据普朗克定律E=hv,那么根据最简单的推理:MC^2=hv,从而得到:v=mc^2/h,此处的v是频率,c是光速,h是普朗克常数,来自法国的科学家德布罗意推导出了这个公式,意味着当电子以速度v前进时,必然伴随着一个速度为c^2/v的波,而且这个波的速度竟然比光速还快上许多,这就是著名的德布罗意波。
这个波实际上就是我们捕捉电子的概率波,现在科学界普遍认为物质波在某一处的强度和粒子在该出出现的几率成正比,也就是物质波越强,证明此处电子密度大,物质波越弱,证明此处波动越小,这其实就是一种概率波。

所以实际上,量子物理是一个概率的物理,我们不再像处于经典物理体系里一样,可以根据万有引力公式预测恒星的位置,甚至发现黑体的存在;也不能通过光线的变化,预测遥远行星的物质构成;也不能通过简单的计算,测算出行星轨道的位置...我们甚至捉不住一只电子。
但是这也是量子物理的魅力所在,它将人类的视线扩大到了粒子的世界里,吸引着一代又一代的科学家去研究那令人心驰神往的量子世界。
关于量子的故事,还远未结束~
大家都在看
-
人类首次清晰捕捉黑洞“舞步”,开启宇宙探索新视界 12月12日中午,在北京中国科学院国家天文台会议室内,研究员刘继峰、王亚楠与中国科学院大学副教授黄样、华中科技大学教授雷卫华等正在聚焦1.2亿光年外的一场“宇宙风暴”—— 一颗恒星被超大质量黑洞撕裂,残骸形成 ... 宇宙探索12-20
-
封面解读:外星生命、暗物质、暗能量……宇宙探索之旅,出发! 当我们抬头仰望星空,是否曾想过,那些闪烁的星光背后,隐藏着宇宙怎样的秘密?《知识就是力量》2025年12月新刊封面正是一幅精心编排的宇宙探索地图。让我们跟随封面上的图案,踏上一场穿越时空的宇宙探索之旅。12月 ... 宇宙探索12-18
-
宇宙有多大?——科学视角一探索与认知- 引言宇宙的浩瀚与神秘一直是人类探索的终极命题。从古代天文学家仰望星空的梦想,到现代科学家利用先进的望远镜进行深空探测,关于“宇宙有多大”的问题一直激发着人类的好奇心和探索欲望。本文将结合最新的科学研究 ... 宇宙探索12-14
-
宇宙有多大?探索无垠的空间之谜 “宇宙有多大?”这是一个古老而又深刻的问题,激发了无数天文学家、物理学家乃至普通人对未知世界的无限好奇。从古代的天文学家仰望星空,到现代科学利用先进望远镜观测遥远星系,我们不断在探索宇宙的边界,试图理 ... 宇宙探索12-14
-
宇宙诞生时间大揭秘:一场跨越时空的探索 在人类对未知的无尽探索中,宇宙的诞生时间一直是一个极具吸引力的谜题。它大揭秘:就像一个神秘的宝藏,吸引着无数科学家和爱好者去挖掘真相。那么,宇宙究竟是什么时间诞生的呢?让我们一起踏上这场跨越时空的探索 ... 宇宙探索12-09
-
天文望远镜的演变史:人类探索宇宙的“神器”之路 你知道吗?我们今天能用望远镜看到遥远的星系、黑洞,甚至探索宇宙的起源,这一切都离不开几百年来不断创新的天文“神器”——望远镜。从古代的仰望星空到现代的超级望远镜,它的每一次突破都带领我们更接近宇宙的奥 ... 宇宙探索12-09
-
宇宙的奥秘探索:我们到底走了多远? 朋友们,你有没有想过,浩瀚的宇宙到底藏着什么秘密?从小仰望星空,看到那一颗颗闪烁的星星,心里是不是也会想:它们背后到底隐藏着什么?其实,关于宇宙的故事,就像一场永不停歇的冒险,充满了奇迹和谜题。今天就 ... 宇宙探索12-07
-
精妙绝伦的宇宙探索未解之谜 6个精妙绝伦的宇宙未解之谜,颠覆认知的星际谜题至今无解!宇宙浩瀚如穹顶,藏着无数超越想象的奥秘。从神秘的暗物质到诡异的黑洞奇点,从外星文明的猜想 to 宇宙的终极命运,这些未解之谜既牵动着科学家的探索神经 ... 宇宙探索12-03
-
用我们能读得懂的语言走进宇宙前沿知识——引力的了解和探索之中 在人类探索宇宙的漫长历史中,我们逐渐掌握了更多宇宙的秘密,宇宙的运行规则最终被归结为四种力,它们都非常神秘,难以理解,是宇宙探索的最前沿理论。而它们之中,引力与我们最为接近,也最容易被我们理解。它既是 ... 宇宙探索12-02
-
【标题】天文与宇宙探索带你走进神秘的星空世界,揭开宇宙的秘密 嘿,朋友们!你有没有想过,天上的那些星星到底藏着什么秘密?为什么我们能看到那么多星座?人类又是怎么一步步走进浩瀚宇宙的?今天就带你深入了解一下天文和宇宙探索的那些事,让你对星空有更酷、更震撼的认识!说 ... 宇宙探索12-02
相关文章
- 70年后人类如何探索宇宙?中国科技馆“筑梦星球”展提供科幻答案
- 从1912到2025,宇宙射线起源探索终突破,中国观测站功不可没
- 无限与樊笼:论宇宙探索中的人类认知边界
- 地球存在如此多威胁人类的问题,为什么还要投资探索宇宙呢?
- 中国航天再破局!卫星天团探索宇宙,千年谜题即将揭晓
- 中国“太空天团”将出征!四颗卫星开启宇宙终极探索之旅
- 宇宙有多大:探索无垠星海的奥秘
- 太空科技强国:探索宇宙的未来之路
- 空间站:人类探索宇宙的新前沿
- 利多星智投:从大气层内到宇宙深空的探索——航空航天入门指南
- 实践三十号卫星的成功发谢,为人类探索宇宙奠定了基础
- 探索宇宙的奥秘::从地球到星际的奇幻旅程
- 火星变“地球2.0”要多久?为什么比想象中更难一万倍?
- 人类文明仅1秒,凭什么敢探索138亿年的宇宙?
- 浑天仪:凝聚古人探索宇宙的智慧(字载匠心·惊艳时光的中国智慧)
- 从一束激光到量子奇迹:普通人也能看懂的纠缠实验全解读
- 人类是怎么用望远镜探索宇宙的?背后的原理到底是啥?
- 全国仅十几所!这 5 所天文学强校含金量拉满,探索宇宙就选它们
- 国内天文学三强高校深度解析:A + 学科背后的宇宙探索密码
- 宇宙探索:从火箭到火星的太空旅
热门阅读
-
预言2030年太阳将休眠,恐怖的千年极寒将来临 07-11
-
中国十大元帅之死,多高寿而善终(林彪叛逃而死) 07-11
-
因果报应真实事例,做尽坏事必遭天谴 07-11
-
全球人口减少可能带来的六大教训和好处 07-18
-
离太阳最近的十大恒星排名,宇宙最大十大星球 04-12
