深层解读“光速限制”,物质能否突破光速?
首先说答案:当然能,光不是在任何地方都是速度之王。
光仅仅在真空中才是速度之王,换一个赛跑的地方,就有许多别的粒子能超越光子,也就是超越光速呢。早在1888年~1904年的时候,物理学家奥利弗希·维赛德和阿诺德·索末菲都提出过超光速理论研究论文。

图示:切伦科夫辐射
但随着爱因斯坦狭义相对论的发表并被广泛接受后,所有关于超光速方面的研究就被彻底抛弃,物理学家们默认光速不可超越。于是曾经看到过超光速现象的居里夫人,就这样放过了一个 诺贝尔物理学奖,让人叹息。

图示:放射性元素锕盐在溶液中发光,也是因为它释放出了超光速粒子。
许多人都看到过放射性物质在水溶液中发光,但他们都没有追问一句这种光是怎么产生的。只有俄国物理学家切伦科夫(cherenkov ),专心致志的探究这个现象,虽然他本人并未将此现象产生的机制彻底搞明白,但这项研究最终让他获得诺贝尔奖,因为他的研究提供了大量实验数据,在切伦科夫研究的基础上,两位理论物理学家Tamm和Frank最终将放射性物质溶液发光现象进行了解释:
“只要我们假设,当粒子的移动速度超过同样介质中的光子的移动速度时,它就会发光的话,那我们就即能定性又能定量地解释(切伦科夫辐射)这种物理学现象“。
直到这个时候,物理学们才集体意识到,他们对狭义相对论的理解存在重大失误,不能超越的光速仅仅是真空光速,如果换一个比赛场地,那么超光速是可以发生的,只有真空光速神圣不可侵犯,其它介质环境中的光速也就是那么回事儿。

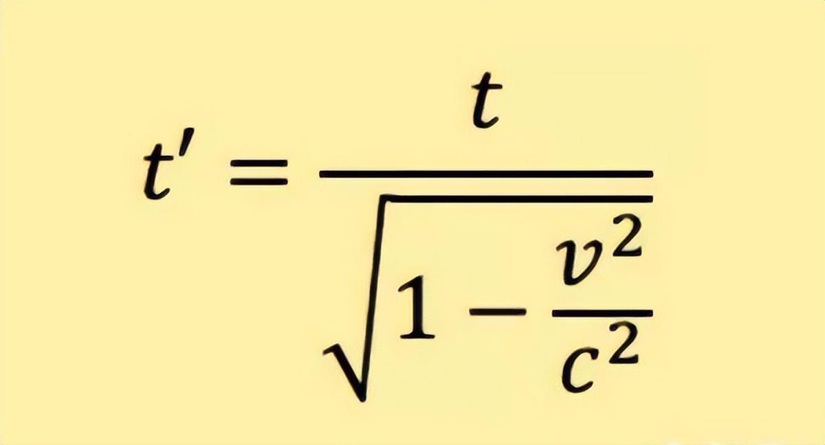
图示:狭义相对论说,超越真空光速,会得到负时间,这似乎意味着你能回到过去,但这会产生一系列的悖论。因此超光速被认为是不可能存在的物理现象。
而在广义相对论中,它否定了在太空中用很长的时间来缓慢加速一个物体进行超光速的思想实验,因为能量和质量是一回事儿,随着物体速度加快,它的质量会越来越大,当它趋近于光速时,其质量会趋近于无限大,而无限能量和无限质量是不可能出现在真实物理世界中的,如果出现整个宇宙就会被无限大的引力给拉到一起,发生大塌缩!注意,光子本身静止质量为零,所以它不需要无限能量就能达到真空光速C.
但是要想知道真的超光速了,你先得知道怎么测量在不同环境中,光的速度才行,否则也就成了空口白牙,没有真凭实据。
我们现在大多都光速很快,伽利略是最先想到测量光速究竟有多快的物理学家,但很不幸他设计的实验台太粗糙,或者说他太小看光速了,因此遭到了可耻的失败,后来许多人想了许多办法来测量光速,但他们统统都失败了,于是有一段时间,多数物理学家开始怀疑光速是否无限快,当然要是光速真的无限快,我们就不必讨论超光速这个话题了。

图示:光的确很快,它来回一趟地球和月亮之间,平均时间为大约2.5秒钟,因为月球围绕地球旋转并不是一个正圆而是一个椭圆。
先看看伽利略是怎么失败的。
他选择了一个月黑风高的夜晚他自己和助手分别爬上两个山头他打开灯并同时计时,助手看到他的灯,打开自己的灯,伽利略看到助手的灯,然后停止计时
图示:1638年8月11号,农历7月初二,一个无月之夜,伽利略和助手尝试了首次人类光速测试实验,实验惨遭失败,这是科学的象征,成功总是建立在大量的失败的基础上。虽然原理没问题,奈何光速太快,人的反应速度太慢,这些误差加在一起,让测量出来的光速变得毫无意义
两百多年后,1849年3月18日,农历二月24,后辈物理学家,名为阿尔芒·斐索(Armand Fizeau)的法国人,决定重复伽利略的方法。在经过十八世纪六十年代工业革命的百年积累之后,斐索要再次挑战光速测量,使用完全一样的原理,但这次他有机器的帮助,不需要用人的神经反射速度。
1、同样选择一个月黑风高的夜晚
2、同样选择两个山头
3、但使用一面镜子代替山头上的助手,镜子直接反光
4、使用一个高速旋转的齿轮来代替计时器,只要知道齿轮的旋转速度就能知道流逝的时间

图示:人类第一个最准确的光速测量实验,它完全仿照伽利略想到的实验方法,但用机器代替人,从而取得了成功。
通过调整齿轮的转速,巧妙地让齿轮恰好旋转一个齿的距离,这样反射回来的光将通过第二面镜子准确地反射到观察者眼中。由于光源使用的是蜡烛,所以还需要一个透镜系统来聚光,免得光线太微弱啥都看不到,今天要是我们重复这个实验,只需要随便在淘宝买一只激光笔就行,可以将透镜系统简化。斐索测量到的光速为:315,431.424 公里/秒,这比现在的约30万公里/秒的速度稍微快了一些。
旋转镜法测光速,是超光速的关键法国物理学家让·伯纳德·里昂·福柯帮助斐索设计了这套测量系统,在斐索取得成功后,福柯想能不能再次简化这个实验,不用出门就在实验室里就完成光速的测定呢?福柯想出了旋转镜法,通过快速旋转的镜子,不需要出门同样能完成光速的测定,而且可以测得更加精确。

图示:旋转镜法测光速
1、光发射到一面高速旋转的镜子上
2、这面镜子将光恰好反射到第二块不动的镜子上,光于是被反射回来
3、第一面高速旋转的镜子恰好将反射光反射到观察者眼中
4、通过测量旋转镜的转速,以及光走过的距离,就能知道光速是多少了。
福柯得到的光速就相当准确了为298000公里/秒,这和现代测量值光在空气中的速度大约为299700km/s,已经非常接近了。而更重要的是,在实验室中,福柯可以让光穿过其它介质,比如玻璃,比如水,比如油等,用同样的方法测量光速,福柯有了一个重大发现:
那就是光速是可以发生变化的!
在不同的介质中,光速不同,甚至差异非常大,以至于不需要考虑实验误差,即光速的差异绝不是实验本身的误差导致的。
光在水中的速度只有空气中的3/4光在玻璃中的速度只有空气中的2/3光在钻石中的速度最慢只有空气中的1/3左右光速被超越时,就会产生一种特殊的辐射现象。
当粒子运动得比光更快的时候,事情就会变得非常特殊,这时候运动中的粒子会发光!是的,如果你跑得比光还快,你就会变成发光体,这真的是一个非常有趣的发现,这种现象被我称为光爆,这是模仿超音速飞机的音爆现象。

图示:浸泡在水中的核反应堆发着幽幽的蓝光,这蓝光就是粒子超光速的证据。
切伦科夫因此拿到了1958年的诺贝尔物理学奖,这种特殊发光现象也就此被称为切伦科夫辐射,它不仅仅发生在水中,在任何介质中,只要粒子的运动速度超过该介质中光子的运动速度,就会发光!当然划过夜空的流星,不是因为它们超光速,而是因为它们和大气剧烈摩擦发热之后才发光的。
最后说一点:大胆假设,小心求证,依据靠谱的物理现象!
大家都在看
-
人类首次清晰捕捉黑洞“舞步”,开启宇宙探索新视界 12月12日中午,在北京中国科学院国家天文台会议室内,研究员刘继峰、王亚楠与中国科学院大学副教授黄样、华中科技大学教授雷卫华等正在聚焦1.2亿光年外的一场“宇宙风暴”—— 一颗恒星被超大质量黑洞撕裂,残骸形成 ... 宇宙探索12-20
-
封面解读:外星生命、暗物质、暗能量……宇宙探索之旅,出发! 当我们抬头仰望星空,是否曾想过,那些闪烁的星光背后,隐藏着宇宙怎样的秘密?《知识就是力量》2025年12月新刊封面正是一幅精心编排的宇宙探索地图。让我们跟随封面上的图案,踏上一场穿越时空的宇宙探索之旅。12月 ... 宇宙探索12-18
-
宇宙有多大?——科学视角一探索与认知- 引言宇宙的浩瀚与神秘一直是人类探索的终极命题。从古代天文学家仰望星空的梦想,到现代科学家利用先进的望远镜进行深空探测,关于“宇宙有多大”的问题一直激发着人类的好奇心和探索欲望。本文将结合最新的科学研究 ... 宇宙探索12-14
-
宇宙有多大?探索无垠的空间之谜 “宇宙有多大?”这是一个古老而又深刻的问题,激发了无数天文学家、物理学家乃至普通人对未知世界的无限好奇。从古代的天文学家仰望星空,到现代科学利用先进望远镜观测遥远星系,我们不断在探索宇宙的边界,试图理 ... 宇宙探索12-14
-
宇宙诞生时间大揭秘:一场跨越时空的探索 在人类对未知的无尽探索中,宇宙的诞生时间一直是一个极具吸引力的谜题。它大揭秘:就像一个神秘的宝藏,吸引着无数科学家和爱好者去挖掘真相。那么,宇宙究竟是什么时间诞生的呢?让我们一起踏上这场跨越时空的探索 ... 宇宙探索12-09
-
天文望远镜的演变史:人类探索宇宙的“神器”之路 你知道吗?我们今天能用望远镜看到遥远的星系、黑洞,甚至探索宇宙的起源,这一切都离不开几百年来不断创新的天文“神器”——望远镜。从古代的仰望星空到现代的超级望远镜,它的每一次突破都带领我们更接近宇宙的奥 ... 宇宙探索12-09
-
宇宙的奥秘探索:我们到底走了多远? 朋友们,你有没有想过,浩瀚的宇宙到底藏着什么秘密?从小仰望星空,看到那一颗颗闪烁的星星,心里是不是也会想:它们背后到底隐藏着什么?其实,关于宇宙的故事,就像一场永不停歇的冒险,充满了奇迹和谜题。今天就 ... 宇宙探索12-07
-
精妙绝伦的宇宙探索未解之谜 6个精妙绝伦的宇宙未解之谜,颠覆认知的星际谜题至今无解!宇宙浩瀚如穹顶,藏着无数超越想象的奥秘。从神秘的暗物质到诡异的黑洞奇点,从外星文明的猜想 to 宇宙的终极命运,这些未解之谜既牵动着科学家的探索神经 ... 宇宙探索12-03
-
用我们能读得懂的语言走进宇宙前沿知识——引力的了解和探索之中 在人类探索宇宙的漫长历史中,我们逐渐掌握了更多宇宙的秘密,宇宙的运行规则最终被归结为四种力,它们都非常神秘,难以理解,是宇宙探索的最前沿理论。而它们之中,引力与我们最为接近,也最容易被我们理解。它既是 ... 宇宙探索12-02
-
【标题】天文与宇宙探索带你走进神秘的星空世界,揭开宇宙的秘密 嘿,朋友们!你有没有想过,天上的那些星星到底藏着什么秘密?为什么我们能看到那么多星座?人类又是怎么一步步走进浩瀚宇宙的?今天就带你深入了解一下天文和宇宙探索的那些事,让你对星空有更酷、更震撼的认识!说 ... 宇宙探索12-02
相关文章
- 70年后人类如何探索宇宙?中国科技馆“筑梦星球”展提供科幻答案
- 从1912到2025,宇宙射线起源探索终突破,中国观测站功不可没
- 无限与樊笼:论宇宙探索中的人类认知边界
- 地球存在如此多威胁人类的问题,为什么还要投资探索宇宙呢?
- 中国航天再破局!卫星天团探索宇宙,千年谜题即将揭晓
- 中国“太空天团”将出征!四颗卫星开启宇宙终极探索之旅
- 宇宙有多大:探索无垠星海的奥秘
- 太空科技强国:探索宇宙的未来之路
- 空间站:人类探索宇宙的新前沿
- 利多星智投:从大气层内到宇宙深空的探索——航空航天入门指南
- 实践三十号卫星的成功发谢,为人类探索宇宙奠定了基础
- 探索宇宙的奥秘::从地球到星际的奇幻旅程
- 火星变“地球2.0”要多久?为什么比想象中更难一万倍?
- 人类文明仅1秒,凭什么敢探索138亿年的宇宙?
- 浑天仪:凝聚古人探索宇宙的智慧(字载匠心·惊艳时光的中国智慧)
- 从一束激光到量子奇迹:普通人也能看懂的纠缠实验全解读
- 人类是怎么用望远镜探索宇宙的?背后的原理到底是啥?
- 全国仅十几所!这 5 所天文学强校含金量拉满,探索宇宙就选它们
- 国内天文学三强高校深度解析:A + 学科背后的宇宙探索密码
- 宇宙探索:从火箭到火星的太空旅
热门阅读
-
预言2030年太阳将休眠,恐怖的千年极寒将来临 07-11
-
中国十大元帅之死,多高寿而善终(林彪叛逃而死) 07-11
-
因果报应真实事例,做尽坏事必遭天谴 07-11
-
全球人口减少可能带来的六大教训和好处 07-18
-
离太阳最近的十大恒星排名,宇宙最大十大星球 04-12
