世界上最贵的东西-反物质
我第一次听说反物质是因为霍金的《时间简史》,当时在书中看到过这样一段描述:“任何粒子都有会和它相湮灭的反粒子,也可能存在由反粒子构成的反世界和反人。所以如果你遇到了反你,注意不要握手,否则你们会在一个巨大的闪光中消失殆尽。”
为了说清楚反物质,我们需要先从一位大佬说起,他就是著名的英国物理学家保罗·迪拉克。1928年,薛定谔方程刚刚发表两年,26岁的迪拉克就在其基础上提出了著名的迪拉克方程。

薛定谔方程有个大问题,就是它只适用于低速、低能量的粒子。它不符合狭义相对论的时空观,而微观粒子的速度往往都很快,甚至接近光速。所以,根据薛定谔方程计算出来的波函数其实是不太准确的。薛定谔方程整体形式为动能加势能等于总能量,其中动能的算式仍然是根据经典牛顿力学的动能动量关系推导得出。

但根据狭义相对论,粒子在高速运动时,其质量会随着速度的增加而增大,动量就不再是简单的静质量乘以速度了。而是需要进行一个洛伦兹变换,此时粒子的动能、动量关系应该是这样的。

而迪拉克方程就是考虑了相对论效应后的波动方程,这也是量子力学和狭义相对论的首次融合。

根据迪拉克方程所计算出来的波函数比薛定谔方程更加精确。但它有个非常反直觉的地方,就是这个方程解出来的能级竟然有负的。

在波尔原子模型中,电子存在于各个不连续的固定的能级之上,对应电子各个状态的能量值。电子可以通过吸收和发射光子在这些能级之间完成跃迁。但实际上,波尔自己也不知道他说的这个能级到底是个什么。后来薛定谔方程告诉我们,这些能级之所以存在,是因为这个二阶偏微分方程恰好就有这几个本征值和本征函数。

而现在迪拉克方程竟然解出了负能级。但如果负能级真的存在,根据能量最低原则,世界上的电子都应该跃迁到负能级去才对。如果是一般人面对这种违反常识的解,可能会选择舍弃,毕竟真实世界没有任何义务必须要听这个方程的。但坚定的迪拉克相信,既然方程有这个解,就一定存在着对应的真实物理意义。

为此,迪拉克提出一种解释:负能级的确存在,你之所以没看见,是因为所有的负能级都已经被电子给填满了。根据泡利不相容原理,其他的电子就无法再跑到负能级上去了。这样一来,我们所身处的这个物质世界,就像是漂浮在负能级电子的汪洋大海之中。于是人们就给它起了个名字,叫迪拉克之海。

那问题就来了,这个迪拉克海到底在哪呢?能否通过实验观测到它呢?迪拉克表示,这个迪拉克海其实无处不在,因为它就是我们所熟悉的真空。按照迪拉克的解释,真空并不空,它分为两部分:一部分是负能级,一部分是填满负能级的电子。而既然是电子,那就可以发生跃迁。所以,如果我们向真空中发射能量足够高的电磁波,那处于负能级的电子就有可能吸收电磁波,跃迁到正能级上去。此时真空就只剩下负能级了。由于电子带负电而真空不带电,于是真空中就会出现一个带正电的空洞。那么问题就来了,这个带正电的空洞又是什么呢?

既然是带正电,那就肯定可以被实验观测到。一开始迪拉克猜测这个带正电的空洞可能就是质子。但泡利和海森堡马上就站出来说:“不对,根据你的理论计算,这个空洞的质量必须和电子相等,而质子的质量明显比电子大太多了,所以它不可能是质子。”

1931年,迪拉克也承认了这个带电的空洞不是质子,并给它起了个名字,叫做“反电子”。反电子的质量和电子一样,而电荷相反。此时的反电子还只是一种理论上假想的粒子。它由负能级上的电子吸收电磁波,跃迁到正能级后产生。注意,由于跃迁是一个可逆的过程,所以电子还可以通过释放电磁波再回到负能级上去。而这个正反电子合并,转化为真空和能量的过程就叫做正负电子的湮灭。
1932年,距离迪拉克提出正电子仅仅过了一年,27岁的美国物理学家安德森就通过威尔逊云室发现了正电子。

所谓威尔逊云室其实就是一个充满了过饱和蒸汽的盒子。当有粒子穿过云室时,粒子附近的蒸汽就会发生液化,从而看到粒子的运动轨迹。如果再加上一个外部磁场,就能根据粒子的轨迹判断出粒子的电性。安德森通过拍摄宇宙射线穿过云室后的照片,发现其中有几条轨迹非常奇怪。这些轨迹的曲率说明它们和电子具有相同的质量,但是偏转的方向却和电子相反,说明它们是带正电的。于是安德森给它们取了个名字,叫正电子。

后来他才知道,他所发现的这个正电子,其实就是之前迪拉克所预言的反电子。这是人类历史上首次在实验室中直接发现反物质。反电子的发现意义重大,以至于仅仅过了四年,安德森就因此获得了诺贝尔物理学奖。
既然电子存在反电子,那构成原子核的质子和中子是不是也有对应的反物质呢?1955年,意大利物理学家赛格雷以及美国物理学家张伯伦通过加利福尼亚大学的质子同步稳相加速器观测到了60个反质子。紧接着,1956年,该加速器的另外一个团队又发现了反中子。我们知道,世间万物都是由原子组成,原子又由电子、质子以及中子组成。而现在,他们对应的反粒子均已发现。这也就是说,理论上我们可以制造出任何元素的反物质。
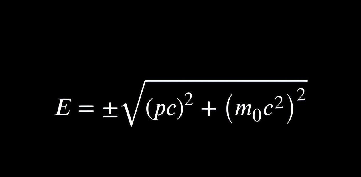
说了这么多,反物质到底有什么用呢?首先是能源。前面提到,正反物质湮灭后会全部转化为能量,没有一点残留。根据爱因斯坦的质能方程E=mc^2,一克反物质湮灭相当于4.3万吨TNT炸药的威力,也就是三颗广岛原子弹的威力。相比之下,核聚变只能将1%至3%的质量转化为能量。因此,在正反物质湮灭面前,核聚变和烧汽油其实并没有太大区别。如果想要让飞船的速度达到接近光速,反物质推进器将是最好的选择。但就目前来看,这依然还只是科幻层面。毕竟反物质的大批量制造和长时间保存仍然是个大问题。
1995年,欧洲核子中心的科学家通过让反质子捕获反电子的方式,成功制造出了世界上第一批反氢原子。由于反质子捕获反电子的概率非常之小,无法大批量制造。当时总共也就制造出了九个反氢原子。一直到2000年九月才成功制造出了约5万个低能状态的反氢原子。

时至今日,绝大部分的反物质基本上都是先由粒子加速器撞出反粒子,然后再将其减速合成。此过程所需要的能量要远大于湮灭所释放出来的能量。据计算,仅仅制造一克反物质就需要大约25乘以10的15次方千瓦时的能量。然而,迄今为止,人类制造出的所有反物质粒子加在一起也远不到一克。即便让所有这些反物质全部一次性湮灭,它们产生的总能量甚至都还不足以烧开一壶水。
同时,由于反物质一遇到正物质就会立刻发生湮灭,所以常规的容器都无法用来保存它。像反电子和反质子这种带电的粒子一般是被保存在一种叫做彭宁离子阱的容器内。这些设备依靠电磁场让粒子不与容器发生碰撞。而不带电的反中子则需要保存在另外一种叫做亚普阱的容器内。从制造成本、存储方式以及稀有度来看,反物质绝对是世界上当之无愧的最贵的物质。
另外有一个应用,其实我们已经在大规模使用。我们知道医院里有个装置叫CT,其作用是通过X光照射人体进行扫描。而与它配合使用的其实还有个装置叫PET,全名是正电子断层照影。它通过向你的身体里注入正电子,然后正电子会与你体内的电子发生湮灭,释放出伽玛射线。通过检测这些伽玛射线,我们就能构建还原出身体的图像。
此外,生活中其实也充满了反物质。比如说香蕉,一根香蕉平均每天都会释放出15个正电子,因为你的香蕉里含有微量的钾-40。而钾-40会发生放射性衰变,同时释放出正电子。同时,人体内也含有微量的钾-40。
事实上,据目前观测数据来看,我们所身处的这个宇宙中,主要还是由正常物质构成。至少在可观测宇宙内是如此。如果反物质和正常物质数量差不多,那岂不是随便飞来一小块反物质陨石,地球就没了。为什么宇宙中的反物质如此稀少,这也是如今宇宙中最大的谜团之一。不过虽然目前还无法完全解释清楚,但也有了一些相关的设想。比如杨振宁和李政道提出的宇称不守恒定律。该理论中的对称性破缺给138亿年前宇宙诞生之初正反物质数量出现的差异提供了一种解释,同时也是量子场论的重要理论支撑。

大家都在看
-
全球最贵 20 幅画作排行榜。 全球最贵 20 幅画作排行榜我们从相对 “便宜” 的作品开始,一步步揭晓这幅价值 10 亿美元的画作。不过我猜,大家应该都知道它的名字:)20 名. 巴勃罗・毕加索《拿烟斗的男孩》,1905 年,于苏富比拍卖行以 1.042 亿 ... 世界最贵12-10
-
富婆专属,全球最贵的十个包!第一个价值好几亿 如果我告诉你有些手提包比豪宅还值钱?在比佛利山庄,我们在说几百万买一个装你手机的东西,也许还有唇彩。让我们分解一下世界上最昂贵的手提包,它们的价格标签有多疯狂。真的让我们从路易斯威登的百万富翁速度开始 ... 世界最贵12-09
-
一针抵一套豪宅!揭秘全球最贵药物 近日,一款“一针抵一套豪宅”的罕见病药物引发业内关注。该药物是诺华最新获得美国FDA批准用于治疗两岁及以上已确诊携带运动神经元存活基因1(SMN1)基因突变的脊髓性肌萎缩症(SMA)患者的基因疗法Itvisma。随着越 ... 世界最贵12-03
-
世界最贵的十大!奢华名酒 4400万美元一瓶的柠檬酒,听着像段子,却是上周刚在迪拜保险库里拍完照的真家伙。意大利女富豪把它当活期存款,每年光瓶身那圈钻石就涨8%,比大多数基金经理靠谱。那边厢,茅台1935的土陶坛子也拍出287万美元,坛子 ... 世界最贵12-02
-
错过了你将遗憾终生,世界上最贵的6样东西 在这个物欲横流的时代,人们往往追求着物质的富足,认为金银财宝、豪车豪宅便是最昂贵的东西。然而,真正无价且珍贵的,是那些无法用金钱衡量的事物。世界上最贵的6样东西,藏在生活的细微处,熠熠生辉。1·健康,是 ... 世界最贵11-17
-
23岁珠宝商用钻石打造全球最贵义眼,价值1425万元 美国好莱坞007电影《谁与争锋》中,反派角色赵因全身镶满钻石而令人印象深刻。现实生活中,美国阿拉巴马州一名年仅23岁的珠宝商斯雷特·琼斯也打造出“钻石眼”,宛如走出电影的角色。琼斯因17岁时感染弓浆虫症导致 ... 世界最贵11-14
-
世界最贵咖啡出现了:每杯6980元!咖啡豆产自一处火山旁的种植园,数百人参与竞拍 阿联酋迪拜一家咖啡馆近日推出一款咖啡,标价为每杯3600迪拉姆(约合人民币6980元)。这一价格刷新了此前2500迪拉姆一杯的最贵咖啡世界纪录。据介绍,这款咖啡使用的咖啡豆产自巴拿马一处火山旁的种植园,带有花果香 ... 世界最贵11-06
-
世界最贵咖啡一杯近7000元,你想尝尝吗? 阿联酋迪拜一家咖啡馆近日推出一款咖啡,标价为每杯3600迪拉姆,约合人民币6980元。这一价格刷新了此前2500迪拉姆一杯的最贵咖啡世界纪录。据介绍,这款咖啡使用的咖啡豆产自巴拿马一处火山旁的种植园,带有花果香味 ... 世界最贵11-06
-
迪拜推出全球最贵咖啡 据法新社10月31日报道,日前,迪拜一家咖啡馆出品了堪称全球最贵的咖啡,每杯售价近千美元。据悉,这一咖啡是用巴拿马咖啡豆精心酿造而成,价格不菲。这个富裕的酋长国以大手笔投资而闻名,这里有带室内滑雪场的超大 ... 世界最贵11-03
-
全球最贵战斗机登场?土耳其采购20架“台风”,均价5.35亿美元? 【军武次位面】作者:乐乐自土耳其因为采购S-400和美国交恶,导致其采购F-35A的计划落空后,替代方案一直摇摆不定。27日,美国“Army Recognition”网站报道称,英国首相斯塔默和土耳其总统埃尔多安,正式签署了交易 ... 世界最贵10-29
相关文章
- 全球最贵战斗机登场?土耳其采购20架“台风”,均价5.35亿美元?
- 全球最贵的9幅画,很多人却欣赏不了,而国画没有一幅能上榜
- 世界上什么最贵
- 世界上最贵的十幅名画,贫穷限制了你的想象
- 世界十大最贵的马
- 世界上最贵10张老照片:有一张售价近600万美元
- 世界上,最贵的东西?
- 全球最贵的十件衣服,其中更是有无价之宝
- 全球7大天价豪宅揭秘!最贵一栋估值3440亿
- 世界上最贵的十大文玩排名
- 世界十大最贵宝藏
- 免费是世界上最贵的!鸡蛋撬走244亿,这届老人太好骗?
- 新加坡再登全球最贵城市榜首!连续3年蝉联全球高端生活成本第一
- 爱马仕首款Birkin拍出7200万元,为何能成“全球最贵”包袋?
- 血亏20亿,中美观众都不买单了,全球最贵电影扑街出局
- 这种债,是世界上最贵的债!千万别欠,代价超乎你的想象!
- 全球最贵的10大奢侈品牌,你知道几个?你了解它们的故事吗?
- 世界足坛最贵11人:亚马尔2亿打边锋,姆巴佩哈兰德18亿搭档锋线
- 全球最贵五大豪车盘点:奢华与性能的巅峰对决
- 全球十大最贵战机排行:美国3.5亿战机登顶,谁是真正的空战之王?
热门阅读
-
世界最贵打火机, Zippo排行第五。 04-21
-
中国最便宜的火车票和最贵的火车票(只要5毛钱) 06-30
-
中国最贵的车排名,国产最贵的车售价500万 07-11
-
世界上最贵的月饼,哈根达斯月饼(815万一盒) 07-29
-
世界上最贵的摩托车及排名,高达1700万(图) 08-01
